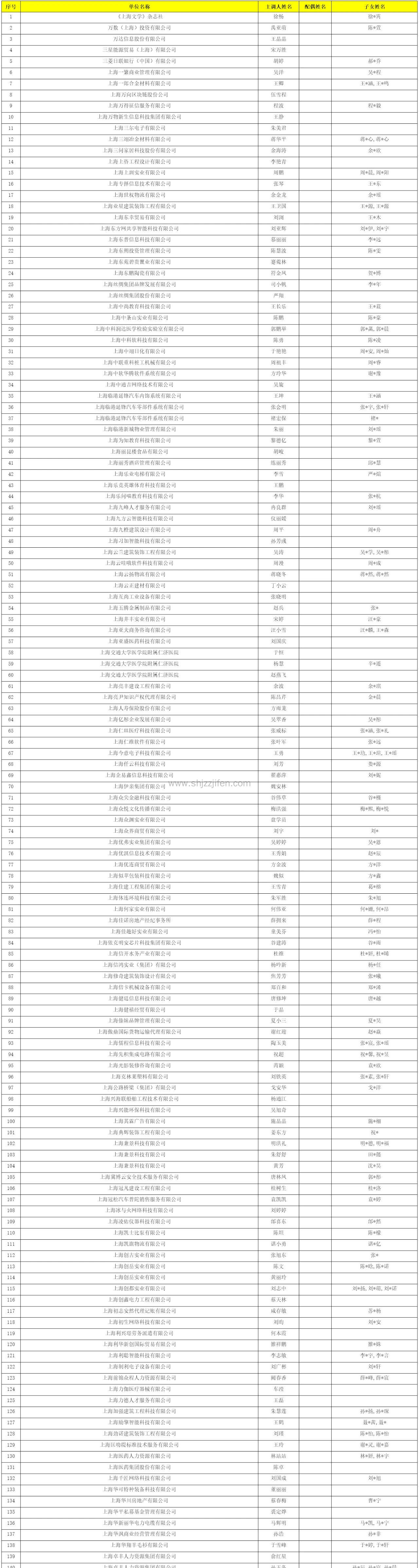
2025年如何查询上海落户公示名单呢?6月16日,上海2025年6月的第一批人才引进和居转户落户名单,已经公布!2025年6月第1批居转户人数为1307人,人才引进落户上海人数为1505人!一起来看看你是否在名单内吧。

不知道自己的落户条件?点击【上海落户条件自测系统】进行查询
官方公示网址:https://www.sh-italent.com/Article/202506/202506160004.shtml
上海居转户落户,本月第1批居转户公示为1307人。名单公示期为5天,本次公示时间截止到6月20日。




若需要详细居转户落户名单,请扫描右侧二维码获取→→→
1、单位资质审核
如果用人单位是初次为员工办理上海落户,在申报前,需要单位做一下资质审核,一般2-3个工作日就能完成
2、系统上传材料
进入一网通办,搜索“持有《上海市居住证》人员申办本市常住户口审批(初审)新办”,登录后填写信息并上传相关材料,等待预审。预审一般1周会出反馈,材料齐全的预审通过,材料不齐会退回补充相关材料。
3、调档核档环节
预审通过后,HR需要打印调档函,由申请人办理调档事宜,调档大概需要2周时间。档案调档上海人才中心后,进行核档,一般需要2周左右
4、柜面递交审核
调档核档完毕后,HR下载申请表签电子章,然后带好所有纸质材料去线下人才中心递交材料,区人才工作部门对材料进行初审,15个工作日内完成初审。
5、复审环节
市人才工作部门按照规定,对初审通过的材料进行审核,在20个工作日内完成审核。
6、公示环节
市人才工作部门审核通过后,将在上海国际人才网进行为期五天的公示。
7、户口迁移
公示完成后进行户口迁移,查询到准迁信息后,前往上海落户地派出所办理准迁证,再回户籍地派出所办理户口迁移证。最后,在上海辖区派出所办理户口本身份证。
注意:江苏、浙江、安徽三省可以办理跨省迁移(其他区域办理是否可以办理跨省迁移需要提前和上海这边需要落户地派出所确认),办理跨省迁移的后期可以直接在上海这边落户派出所直接领取新的户口本和身份证。
点击下方图片一键测算你的落户条件↓↓↓
上海人才引进落户,本月第1批人才引进公示为1505人。名单公示期为5天,本次公示时间截止到6月20日。
《上海市引进人才申办本市常住户口》公示名单 :https://www.sh-italent.com/Article/202506/202506160005.shtml



若需要详细人才引进落户名单,请扫描右侧二维码获取→→→
1、准备材料(1-2周)
根据人才引进落户上海的政策,符合落户条件就可以准备落户所需的材料,具体的材料需要根据落户通道及自身的情况而定。
2、提交预审(1-2周)
落户材料准备好之后,把材料交给用人单位人事,由人事在一网通办,填写信息及上传电子材料,提交落户申请,等待预审(预审时间一周左右)。
3、调档核档(2-3周)
预受理通过后,在一网通办上下载调档函,进行调档,档案到达上海人才服务中心之后,会进行档案和教育背景核实。
4、提交材料(当场受理)
档案审核通过后,预约线下提交材料(部分人才服务中心不需要预约,可以直接去提交材料),单位人事携带身份证到受理提交纸质材料(预审阶段提交的所有材料都准备原件及复印件)。
5、初审(15个工作日)
材料提交后,进行初审,初审通过,然后进行审核。
6、公示(5天)
审核通过后,等待公示即可,人才引进落户上海的公示期为5天。
7、办理户口迁移(1-2周)
公示结束后,等四五天落地派出所可以查到准迁信息之后,到落户地派出所办理准迁证,再回户籍地办理迁移证,江苏、浙江、安徽可进行线上办理。
8、领取户口本和身份证(1-2周)
迁好户口后,可以去落户派出所办理户口本和身份证,身份证上只会改变户籍地址,身份证号不会变。
很多朋友看到自己的落户状态已经变成公示中,都觉得上海户口稳了! 其实并不是! 提醒大家,公示并不等于已经获得上海户口,这只是说明你已经获得落户上海的资格!一定要按照以上步骤走完全流程!以上内容希望能帮到大家,如果你在积分落户途中遇到任何问题都可以向我们详细咨询,我们有资深的专业老师为您解答!

资讯动态相关推荐
一对一规划顾问
为了确保您的测评结果更准确, 我们申请您留下联系方式以便我们人工审核后通过电话回访告诉您准确的测评结果。*您的信息受 《隐私保护声明》保护
提交成功




一对一规划顾问
更多福利,等你解锁!